Roberto Marquardt and coworkers published a new paper, “Observation and modeling of bound–bound and bound-free transitions in Cu2” in The Journal of Chemical Physics : https://doi.org/10.1063/5.0312177

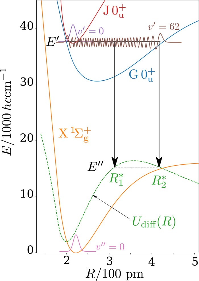
Laser-induced transitions from the perturbed J0+u , v′= 0 − 2 ∼ G 0+u , v′= 62 − 68 system to the X1Σ+g (0+g ) ground state of dicopper havebeen investigated experimentally and theoretically. Upon excitation of specific rotational levels, long progressions to vibrational levels are observed. Strong emissions are observed at low vibrational levels. Notably, spectra show significant line strength near and above the asymptotic atom dissociation limit. The latter feature is due to the Condon internal diffraction of bound-free transitions to the continuum region of the ground state. Based on the Rydberg–Klein–Rees potentials for the J0+u , G0+u , and X1Σ+g (0+g ) states, eigenvalues and wave functions are obtained by solving the radial Schrödinger equation. Hence, frequencies of rovibrational transitions, Franck–Condon factors, and Einstein coefficients for spontaneous emissions are determined. The required transition dipole moment functions are obtained from high-level electronic structure calculations at the multi-reference configuration-interaction level of theory. Simulated line positions and relative intensities for transitions near and above the dissociation limit are in good agreement with the experiment. Furthermore, the feasibility of photoassociation experiments involving ultracold copper atoms is estimated by calculating the coupling rate between the colliding cold atoms and the excited G0+u state.









